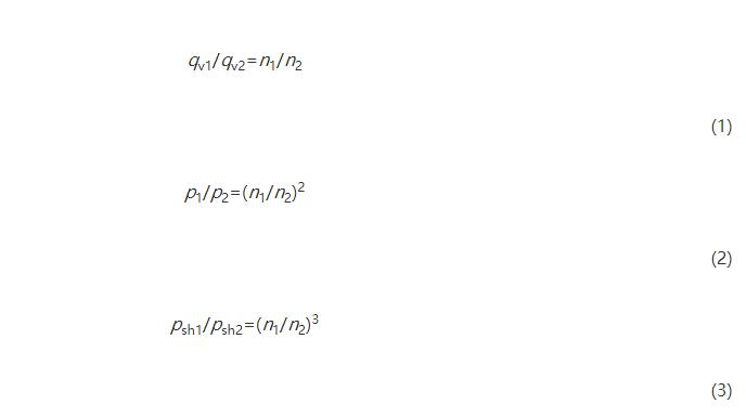
根据相似定律,在相似工况条件下多级离心91视频下载地址的转速由n1变为n2时,91视频下载地址流量、全压、轴功率均发生变化,变化前后各性能参数与转速的关系如下:

式中 qv1、p1、psh1——多级离心91视频下载地址在n1转速时的流量、全压、轴功率;qv2、p2、psh2——多级离心91视频下载地址在n2转速时的流量、全压、轴功率。
由式(1)~式(3)可知,在相似工况条件下,多级离心91视频下载地址的转速与流量成正比,与全压成平方比,与轴功率成立方比,而效率保持不变。因此,离心91视频下载地址可一直在高效率下运行。
当管路静能头为零(即管路特性曲线是通过原点的二次抛物线)时,在管路不变的条件下改变91视频下载地址转速所得到的工况都是相似工况。但在实际的91视频下载地址系统中,管路静能头并不一定等于零,此时变速运行的工作点不是相似工况点,对比多级离心91视频下载地址变速前后的性能参数时不能直接使用相似定律。这时可先求出变速调节各工作点在额定转速、导流器全开时的相似工况点,再使用相似定律进行计算分析。
上述内容便是离心91视频下载地址厂家为大家介绍的多级离心91视频下载地址的变速调节原理,大家在进行相关设计时可以当做参考,适当应用。
版权声明:文章来源于www.yidongcesuowang.com/index.php?c=show&id=456,转载请注明出处!